top of page
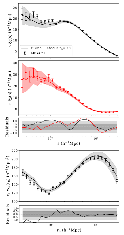
​We investigate the clustering and halo occupation distribution of emission-line
(ELGs) and luminous red (LRGs) galaxies at 0.8 < z < 1.1, including their cross-correlation
(ELG×LRG), using the AbacusSummit suite and a new Halo Occupation Model (Home) for galaxy
multi-tracers. This integrates intra-halo dynamics, halo exclusion, and quenching, bridging insights
from hydrodynamical, HOD, abundance-matching, and semi-analytic studies.



bottom of page